
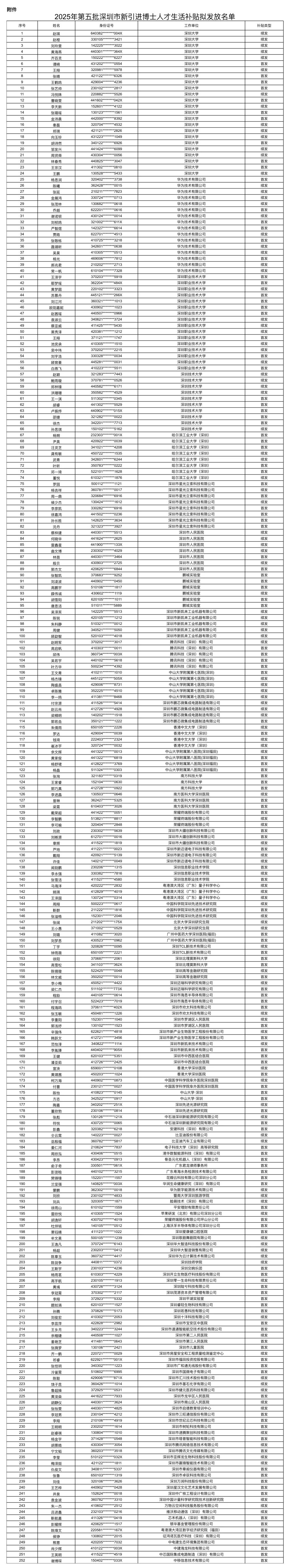
根据《深圳市新引进博士人才生活补贴工作实施办法》(深人社规〔2022〕3号)等文件规定,我局已完成2025年第五批新引进博士人才生活补贴的审核工作,现将拟发放名单予以公示(见附件)。
公示时间为2025年5月13日至5月19日。公示期间,任何单位和个人对拟发放名单有异议的,可通过来访、来电、来信等方式向我局反映
(地址:深圳市福田区深南大道8005号深圳人才园1楼行政服务大厅综合窗口,邮编:518040,联系电话:0755-88102030,电子邮件:zfshbt@hrss.sz.gov.cn)。
反映人反映情况和问题必须实事求是、客观公正,并提供真实姓名、联系电话等信息以示负责。我局将对反映人的信息及反映情况严格保密,并认真开展调查核实。投诉举报情况一经核实,我局将根据相关规定进行处理。
附件:2025年第五批深圳市新引进博士人才生活补贴拟发放名单
深圳市人力资源和社会保障局
2025年5月13日
